IB Chemistry Study Summary

Organic Chemistry

1
Organic Fundamentals

Defining Organic Chemistry

Organic chemistry is primarily concerned with the study of compounds containing carbon. While a few inorganic compounds, such as carbon and its oxides and carbonates, also contain carbon, the vast majority of carbon-containing substances are classified as organic. These organic compounds are typically characterized by chains or rings of carbon atoms, and nearly all of them also contain covalently-bonded hydrogen atoms.

Catenation: Carbon's Unique Bonding Ability

One of the primary reasons for the immense number and diversity of organic compounds is carbon's unique ability to form stable covalent bonds with itself, a property known as catenation. Carbon possesses four valence electrons, enabling it to form four covalent bonds. This allows carbon atoms to link together in various ways, creating extensive chains and rings. The total number of known organic compounds is so vast that it is impossible to estimate precisely, with at least ten million identified, and this number continues to grow as new materials are synthesized. The synthesis of urea by Wöhler in 1828 demonstrated that organic molecules could be created outside of living organisms, further expanding the field. Each organic compound possesses a unique structure and distinct properties.

Hydrocarbons: The Simplest Organic Compounds

Hydrocarbons represent the simplest class of organic compounds, as they are composed solely of carbon and hydrogen atoms. These compounds can be broadly categorized into two types: saturated and unsaturated. Saturated hydrocarbons contain only single carbon-carbon bonds, meaning each carbon atom is bonded to the maximum number of other atoms. In contrast, unsaturated hydrocarbons contain either double or triple carbon-carbon bonds, indicating that they have fewer hydrogen atoms than their saturated counterparts with the same number of carbon atoms.

Homologous Series: Classifying Organic Compounds

To manage the millions of existing organic compounds, chemists classify them into 'families' known as homologous series. A homologous series is a group of organic compounds that share several key characteristics. Successive members within a series differ by a single –CH₂– group. Members of a series are characterized by the presence of specific functional groups, which are groups of atoms that impart similar chemical properties to various compounds. All members of a homologous series can be represented by the same general formula, and they exhibit a gradation in their physical properties, such as boiling point, density, and viscosity. Crucially, members of a homologous series also possess similar chemical properties due to their shared functional group.

Structural Differences in Homologous Series

A defining feature of a homologous series is that successive members differ by a –CH₂– group. For instance, alkanes, which are unbranched, saturated hydrocarbons containing only single-bonded carbon and hydrogen atoms, exemplify this principle. The naming convention for alkanes and other organic compounds is based on the number of carbon atoms in the longest continuous chain, using specific organic stems:
Organic Stem # of carbons
Meth- 1
Eth- 2
Prop- 3
But- 4
Pent- 5
Organic Stem # of carbons
Hex- 6
Hept- 7
Oct- 8
Non- 9
Dec- 10
Diagram

Functional Groups: Determinants of Chemical Properties

Homologous series are fundamentally characterized by the presence of particular functional groups. These specific groups of atoms are responsible for the characteristic chemical reactions of the compounds within that series. The presence of a functional group is often reflected in the general formula of the series and is indicated by the suffix in the compound's name. For example, alcohols are defined by the presence of the hydroxyl (--OH) functional group.
Diagram
The following table provides a comprehensive list of common homologous series and their corresponding functional groups. The 'R' symbol is a common abbreviation used to represent a hydrocarbon part of a molecule (an alkyl group) when its specific details are not essential for the discussion. The symbol represents a benzene ring (C₆H₆), which is characteristic of aromatic compounds. It is important to note that for amines, the 'R' groups attached to the nitrogen atom do not necessarily have to be hydrogen atoms.
Homologous Series Functional Group
Alkane –CH₂–
Alkene alkenyl
Alkyne alkynyl
Alcohol hydroxyl
Ether ether
Aldehyde aldehyde
Ketone carbonyl
Carboxylic Acid carboxyl
Ester ester
Amide carboxyamide
Amine amine
Nitrile nitrile
Arene phenyl
Diagram

Understanding Phenyl Groups

Diagram













Identifying Functional Groups in Molecules

 A key skill in organic chemistry is the ability to identify all functional groups present within a given molecule. This identification is crucial for predicting the chemical behavior and properties of the compound.
Diagram

Diagram

General Formulas for Homologous Series

Members of the same homologous series can be represented by a common general formula, which provides a concise way to describe the elemental composition of any member within that series.
Homologous Series General Formula
Alkane CnH2n+2
Alkene CnH2n
Alkyne CnH2n-2
Alcohol CnH2n+1OH
Ether CnH2n+2O
Aldehyde CnH2nO
Ketone CnH2nO
Carboxylic Acid CnH2nO2
Ester CnH2nO2

Gradation in Physical Properties within a Homologous Series

As one moves through a homologous series, successive members possess progressively longer carbon chains. This increase in chain length leads to a noticeable gradation in physical properties. For instance, compounds with longer carbon chains exhibit increasing boiling points. This is attributed to the larger surface area available for interaction, leading to increased instantaneous dipoles and consequently stronger London dispersion forces between molecules. Similarly, density and viscosity also tend to increase with an increasing number of carbon atoms in the chain.
Diagram

Consistent Chemical Properties within a Homologous Series

A fundamental characteristic of a homologous series is that all its members share similar chemical properties. This similarity arises because they all possess the same functional groups, which are the sites of chemical reactivity. By understanding the reactions associated with a particular functional group, one can predict the chemical behavior of all members within that series. For example, alcohols can be oxidized to form organic acids, and the –COOH functional group present in carboxylic acids is responsible for their acidic properties.
2
Detailed Nomenclature

Nomenclature of Alkanes

When naming alkanes, the substituents are listed in alphabetical order, regardless of their position numbers. For example, even if an isopropyl group is located at position 5 and a methyl group at position 2, the isopropyl group is still cited before the methyl group in the name because 'i' comes before 'm' alphabetically.










Diagram




Diagram

Nomenclature of Halogenoalkanes

To name halogenoalkanes, the first step is to identify all substituents present in the molecule. These can include alkyl groups and halide atoms. Next, determine the parent chain, which is the longest continuous carbon chain in the molecule. For instance, if the longest possible chain contains eight carbon atoms, the parent chain is identified as octane.
Diagram
Diagram
Diagram
Diagram
After identifying the parent chain and substituents, the carbon atoms in the parent chain must be numbered. The numbering should be done in such a way that the substituents receive the lowest possible numbers. If there is a tie for the first locant (the number indicating the position of the first substituent), then the second locant is compared, and if still tied, the third locant, and so on, until a difference is found that assigns the lowest possible numbers to the substituents.

Nomenclature of Alkenes

When naming alkenes, the presence of a carbon-carbon double bond dictates specific naming rules.
Diagram
Diagram






Diagram





Diagram

Nomenclature of Alkynes

 Similar to alkenes, alkynes are named based on the presence of a carbon-carbon triple bond.

Nomenclature of Alcohols

Alcohols are characterized by the presence of a hydroxyl (-OH) functional group. Their nomenclature follows specific rules to indicate the position of this group.
Diagram
Diagram





Diagram


Diagram
Diagram
Diagram
Diagram
Diagram
Diagram
Diagram

Nomenclature of Amines

Amines are organic compounds derived from ammonia, characterized by the presence of a nitrogen atom.








Nomenclature of Esters

Esters are derivatives of carboxylic acids, formed by
the reaction of a carboxylic acid with an alcohol. When naming esters, the
substituents are numbered based on their position relative to the -COOR group (the ester functional group) and are then listed in alphabetical order.
Diagram









Diagram
Diagram

Nomenclature of Nitriles

Nitriles are organic compounds containing a -C≡N functional group.

Nomenclature of Arenes

Arenes are aromatic hydrocarbons, typically containing a benzene ring. If an alkyl chain attached to the benzene ring has more carbon atoms than the benzene ring itself (which has six carbons), then the benzene ring can be treated as a substituent. In this case, the benzene ring is referred to as a phenyl group, similar to how methyl or ethyl groups are named. The phenyl group is often abbreviated as "Ph".
Diagram
Diagram
Diagram
Diagram
Diagram
If a higher priority functional group is present in the molecule, the nitrile group is then considered a substituent and is indicated by the prefix "cyano-".
This prefix is placed alphabetically among other substituents in the name. When multiple functional groups are present, their priority determines which group dictates the suffix of the parent chain and which are named as prefixes. For example, halogens (like chloro) and ethers (like methoxy) can only be substituents and are always indicated by
prefixes. Their alphabetical order determines their placement in
the name (e.g., "chloro" before "methoxy"). If both a carboxylic
acid and an alcohol group are present, the carboxylic acid takes
priority. Consequently, the parent chain will have the suffix "-oic acid", and the alcohol group will be indicated by the prefix "hydroxy-".
Diagram
Diagram
Diagram
Diagram
Diagram
3
Naming Summary

Representing Molecular Structures

The structural formula of a molecule provides a visual representation of how atoms are bonded to each other. There are several ways to depict a structural formula, each offering different levels of detail.

A full structural formula explicitly shows every bond and atom within the molecule, typically using standard bond angles such as 90°, 120°, and 180° to represent the geometry. In contrast, a condensed structural formula omits assumed bonds and groups atoms together, providing the minimum information necessary to describe the molecule without drawing every single bond. For illustrating the three-dimensional arrangement of atoms and groups around a carbon center, a stereochemical formula is employed, which indicates the relative positions of these components in space.

Beyond structural representations, the molecular formula specifies the actual number of atoms of each element present in a molecule. For instance, ethanoic acid can be represented in various ways:

Diagram
Diagram
Diagram
Diagram

Introduction to IUPAC Nomenclature

The IUPAC (International Union of Pure and Applied Chemistry) system provides a standardized set of rules for naming chemical compounds, which is crucial for clear communication across international boundaries in the scientific community. Naming organic compounds involves a systematic approach based on three primary rules.

The first rule dictates that the stem of the compound's name is derived from the longest continuous chain of carbon atoms. The second rule establishes that the functional group present in the molecule determines the suffix of the compound name. Finally, the third rule specifies that the prefix of the compound name is based on any side chains or other functional groups attached to the main carbon chain.

Identifying the Longest Carbon Chain (Rule 1)

The first step in naming an organic compound is to identify the longest continuous chain of carbon atoms, as this determines the stem of the compound's name. It is important to understand that 'straight chain' refers to a continuous, unbranched sequence of carbon atoms, not necessarily a linear arrangement at 180° angles on paper. A molecule might appear non-continuous in a two-dimensional drawing but is, in fact, a continuous chain in its three-dimensional structure. This continuous chain may also include the carbon atom of a functional group, such as those found in carboxylic acids, esters, or amides.

For example, consider the different representations of pentane (C₅H₁₂):

Diagram
Diagram

Determining the Functional Group and Suffix (Rule 2)

The second rule in IUPAC nomenclature involves identifying the functional group, which dictates the suffix of the compound name. The longest carbon chain must include the functional group. For instance, the suffix for a parent alkane is "-ane." If a functional group is present, it replaces the "-ane" suffix with the appropriate one corresponding to that functional group.

The position of a functional group along the carbon chain is indicated by a number inserted between dashes before the functional group suffix. This number corresponds to the carbon atom to which the functional group is attached. When numbering the straight chain, one starts from the end that is closest to where branching or the functional group occurs. In some cases, where the functional group can only occupy one specific position, explicit numbering may not be necessary.

Diagram
Diagram

The Significance of Functional Groups

It is important to note that the functional group represents the site of reactivity within a molecule; it is not synonymous with the class of the molecule itself. The presence and type of functional group largely determine the chemical properties and reactions of an organic compound.

Diagram

Identifying and Naming Side Chains (Rule 3)

The third rule focuses on identifying and naming side chains, also known as substituents. These are functional groups other than the one designated as the primary functional group (which determines the suffix). If a molecule contains two or more different functional groups, one will be chosen as the primary functional group (suffix), and the others will be treated as substituents (prefixes). For example, an amino group (–NH₂) can act as both a prefix (e.g., in amino acids where another group like a carboxyl group is primary) or a suffix (if it is the only functional group).

The position of substituents is indicated by a number followed by a dash, placed in front of the compound name. To determine this number, the longest carbon chain is numbered sequentially starting from the end closest to the branching or the substituent. This ensures that the substituents are assigned the lowest possible numbers.

Diagram
Diagram
Diagram

Handling Multiple and Identical Substituents

When a molecule contains more than one substituent of the same type, commas are used to separate the numbers indicating their positions, and prefixes such as "di-", "tri-", or "tetra-" are used before the substituent name to denote their quantity. Substituents are listed in alphabetical order. If multiple groups are attached to the same carbon atom, they are also listed alphabetically.

Applying IUPAC Nomenclature: A Summary Example

To summarize the application of IUPAC nomenclature, consider the following compound. The process involves systematically applying the rules discussed: identifying the longest carbon chain, determining the primary functional group and its suffix, and then identifying and naming any side chains or substituents with their respective positions.

Diagram
Diagram
4
Isomerism & Classification
Diagram

Understanding Structural Isomers

Structural isomers are distinct chemical compounds that share the same molecular formula but differ in the arrangement of their atoms. This difference in atomic connectivity leads to unique physical and chemical properties for each isomer. The number of possible structural isomers for a given molecular formula generally increases with the increasing size and complexity of the molecule.

Exploring Alkane Structural Isomers

Diagram

Consider the alkanes as an example of structural isomerism. For instance, pentane (C₅H₁₂) can exist in several isomeric forms. Similarly, hexane (C₆H₁₄) exhibits an even greater number of structural isomers due to the increased carbon chain length.




Diagram



Diagram
Diagram
Diagram
Diagram

Investigating Alkene Structural Isomers

Structural isomerism is also prevalent in alkenes. For example, butene (C₄H₈) can exist as several isomers, including those with different positions of the double bond or different branching patterns. As the number of carbon atoms                  increases, such as in pentene (C₅H₁₀) and hexene (C₆H₁₂),        the variety and complexity of their structural isomers also        grow significantly.                                                           

Diagram
Diagram

The Significance of Isomers

Diagram

Isomers play a crucial role in various fields, including the petroleum industry, biochemistry, and pharmaceuticals. For example, branched-chain isomers of hydrocarbons burn more smoothly and efficiently in internal combustion engines compared to their straight-chain counterparts. This characteristic makes them a "better grade" fuel, often associated with a higher octane number and consequently a higher price. In biochemistry and drug industries, the specific arrangement of atoms in an isomer can drastically alter its biological activity and function. A classic example is methoxymethane and ethanol, both sharing the molecular formula C₂H₆O. Despite being structural isomers, methoxymethane is a gas used in aerosol propellants, while ethanol is a liquid commonly found in alcoholic beverages, highlighting their vastly different applications and properties.

Classifying Carbon Atoms: Primary, Secondary, and Tertiary

Diagram
Diagram

The reactivity and properties of a functional group within a molecule are significantly influenced by its position on the carbon chain. Carbon atoms are classified based on the number of other carbon atoms they are directly bonded to, which in turn dictates the number of hydrogen atoms attached to them. A primary carbon atom is bonded to only one other carbon atom and at least two hydrogen atoms. A secondary carbon atom is bonded to two other carbon atoms and one hydrogen atom. Finally, a tertiary carbon atom is bonded to three other carbon atoms and no hydrogen atoms.

Diagram

Classifying Amines: Primary, Secondary, and Tertiary

Similar to carbon atoms, nitrogen atoms in amines can be classified as primary, secondary, or tertiary based on the number of alkyl groups attached to them. A primary amine has the nitrogen atom bonded to one alkyl group and at least two hydrogen atoms. A secondary amine has the nitrogen atom bonded to two alkyl groups and one hydrogen atom. A tertiary amine has the nitrogen atom bonded to three alkyl groups and no hydrogen atoms.

Diagram
5
Arenes & Benzene

Defining Arenes and Aromaticity

Arenes constitute a class of organic compounds derived from benzene, characterized by the presence of a phenyl functional group. These compounds are also known as aromatics, which are unsaturated hydrocarbons containing one or more planar rings. Aromatic compounds exhibit distinct chemical properties that differentiate them from other organic compounds, particularly aliphatics, which are non-aromatic hydrocarbons. The fundamental building block of arenes is benzene.
Diagram
Diagram

The Benzene Molecule: C₆H₆

Benzene, with the molecular formula C₆H₆, presents a unique structural challenge due to its 1:1 carbon to hydrogen ratio and high degree of unsaturation. Despite its high unsaturation, benzene exhibits no isomers, a characteristic that puzzled early chemists. The initial model for benzene, proposed by August Kekulé in 1865, suggested a cyclic arrangement of six carbon atoms with alternating single and double bonds, resembling 1,3,5-cyclohexatriene. This model successfully explained the absence of isomers but failed to account for benzene's surprisingly low reactivity compared to other unsaturated compounds. Advances in analytical technology and experimental data were crucial in developing the current, more accurate model of benzene's structure. Benzene does not readily undergo the addition reactions typically expected of compounds with double bonds, further highlighting the inadequacy of the simple alternating double bond model.
Diagram

The Delocalized Pi Electron Cloud Model of Benzene

The modern understanding of benzene's structure reveals that all carbon-carbon bonds within the ring are of equal length and possess uniform electron density. Each carbon atom in the benzene ring is sp² hybridized, forming three sigma (σ) bonds at 120° angles, resulting in a planar hexagonal structure. Crucially, each carbon atom also possesses one unhybridized p orbital, which is perpendicular to the plane of the ring. Instead of forming localized pi (π) bonds, these six p electrons overlap laterally, creating a continuous, delocalized pi electron cloud above and below the plane of the carbon ring. This delocalization of electrons is responsible for benzene's exceptional stability and low internal energy. Benzene is a significant industrial solvent and a precursor in the synthesis of various products, including dyes, drugs, and plastics. While it is naturally present in petroleum, its toxicity and carcinogenic properties (linked to aplastic anemia and leukemia upon chronic exposure) have led to strict exposure limits in many countries for water, food, and workplace environments. The delocalized pi electron cloud is often represented graphically by a circle inside a hexagon.
Diagram
Diagram
Diagram

Evidence Supporting the Delocalized Model of Benzene

The delocalized model of benzene, often depicted as a hexagon with an inscribed circle, effectively explains most of its observed properties. It is important to distinguish benzene from cyclohexane; while both are cyclic hydrocarbons, cyclohexane is a saturated compound without the delocalized electron system characteristic of benzene. The following table summarizes the key experimental observations and their explanations, which collectively support the delocalized pi electron cloud model.
Property Observation/evidence Explanation
Bond lengths All carbon-carbon bond lengths in benzene are equal and intermediate in length between single and double bonds. X-ray bond length data shows: alkane single bond C–C: 0.154 nm; alkene double bond C=C: 0.134 nm; benzene bond length: 0.139 nm. Each bond contains a share of three electrons between the bonded atoms, indicating a hybrid character between single and double bonds.
ΔHhydrogenation for the reaction: C₆H₆ + 3H₂ → C₆H₁₂ Theoretical value based on adding H₂ across three C=C double bonds: -362 kJ mol⁻¹. Experimental value for benzene: -210 kJ mol⁻¹. Benzene is more stable than the predicted Kekulé structure by ~152 kJ mol⁻¹. Delocalization minimizes repulsion between electrons and gives benzene a more stable structure (by 152 kJ mol⁻¹). This energy difference is known as resonance energy or stabilization energy, representing the energy required to overcome the stability of the delocalized ring.
Type of reactivity Benzene is reluctant to undergo addition reactions and is more likely to undergo substitution reactions. Addition reactions are not energetically favorable because they would disrupt the stable delocalized electron cloud. The resonance energy would need to be supplied, and the product would be less stable. Benzene preferentially undergoes substitution reactions to preserve its stable aromatic ring structure.
Isomers Only one isomer exists for compounds such as 1,2-dibromobenzene. Benzene is symmetrical with no alternating single and double bonds. All adjacent positions in the ring are equivalent, meaning there is only one way to place two substituents on adjacent carbons.
Diagram
Diagram

The Evolution of Scientific Models: The Case of Benzene

The understanding of benzene's structure exemplifies how scientific models evolve with new evidence. The initial Kekulé model, while explaining some properties, was ultimately refined and largely superseded as technological advancements, such as X-ray diffraction, provided quantitative data that contradicted certain aspects, particularly regarding bond lengths. This process underscores a fundamental principle in science: the progress of knowledge often demands the refinement or even abandonment of existing models when new, objective data emerges. Scientists must maintain objectivity and openness to new evidence, allowing for the continuous improvement of our understanding of the natural world. Therefore, it is crucial for scientists to base their models on robust scientific evidence and be prepared to adapt or revise those models when confronted with new, compelling data.

Factors Influencing Volatility

Volatility refers to how readily a liquid evaporates, with more volatile liquids exhibiting higher vapor pressures. The physical properties of a compound, including its volatility, are significantly influenced by its molecular structure. The hydrocarbon skeleton, which comprises the carbon and hydrogen molecular framework, plays a crucial role. For members of the same homologous series, shorter straight chains result in fewer London dispersion forces, leading to lower boiling points and thus higher volatility. Conversely, increased branching in hydrocarbon chains reduces the surface area for contact between molecules, leading to fewer London dispersion forces, lower boiling points, and consequently higher volatility. Beyond the hydrocarbon skeleton, the presence and type of functional groups are also critical. Polar functional groups introduce dipole-dipole forces, which are stronger intermolecular forces than London dispersion forces, resulting in higher boiling points and lower volatility. Furthermore, functional groups capable of hydrogen bonding (e.g., -OH, -NH₂) create even stronger intermolecular forces, leading to significantly higher boiling points and much lower volatility.
Diagram
6
SL Organic Reactions

Alkanes: Structure and General Reactivity

Alkanes are a class of organic compounds characterized by the general formula CnH2n+2. They are classified as saturated hydrocarbons, meaning they are composed solely of hydrogen and carbon atoms, and all carbon-carbon bonds within their structure are single bonds. This saturation distinguishes them from other hydrocarbon families. The chemical reactivity of alkanes is generally low due to the strength and non-polar nature of their constituent C-C and C-H bonds. These bonds possess significant bond enthalpies, specifically 348 kJ/mol for C-C and 412 kJ/mol for C-H bonds, requiring a substantial energy input to break them. Consequently, alkanes are stable under most conditions, making them suitable for safe storage, transport, and compression. Their non-polar character also renders them resistant to attack by many common reactants.

Combustion of Alkanes

Alkanes are widely utilized as fuels because their combustion releases considerable amounts of energy. When hydrocarbons like alkanes burn in the presence of oxygen, they typically produce carbon dioxide (CO2) and water (H2O). This process is highly exothermic, as a large amount of energy is liberated during the formation of the strong double bonds in CO2 and the bonds in H2O. For example, the complete combustion of propane (C3H8) is represented by the equation:
C3H8 (g) + 5O2 (g) → 3CO2 (g) + 4H2O (g) with a ΔH of -2220 kJ/mol.
It is important to note that the CO2 generated from the combustion of fossil fuels, which are primarily alkanes, is a greenhouse gas contributing to global warming.

In scenarios where the oxygen supply is limited, incomplete combustion occurs, leading to the formation of carbon monoxide (CO) and water. For instance, with limited oxygen, propane combustion can yield: 2C3H8 (g) + 7O2 (g) → 6CO (g) + 8H2O (g). Carbon monoxide is a toxic gas that interferes with the blood's ability to transport oxygen, posing a significant health risk, especially in areas with high traffic or inadequate ventilation. In extremely oxygen-deficient conditions, elemental carbon (soot) may be produced, as shown by: C3H8 (g) + 2O2 (g) → 3C (g) + 4H2O (g).
These unburned carbon particles negatively impact the respiratory system and contribute to smog and global dimming, which is a decrease in the amount of direct solar irradiance reaching Earth's surface.

Halogenation of Alkanes via Free Radical Substitution

Diagram

Alkanes undergo substitution reactions, specifically halogenation, where a halogen atom replaces a hydrogen atom in the alkane molecule. Examples include the reaction of methane with chlorine to form chloromethane (CH4 (g) + Cl2 (g) → CH3Cl (g) + HCl (g)) and ethane with bromine to form bromoethane (C2H6 (g) + Br2 (g) → C2H5Br (g) + HBr (g)). This process occurs in three distinct stages: initiation, propagation, and termination, and involves free radicals.

Initiation: Homolytic Fission of Halogen Molecules

Diagram

The initiation step involves the breaking of the diatomic halogen bond, typically by ultraviolet (UV) light. This process, known as photochemical homolytic fission, results in the symmetrical splitting of the shared electron pair, producing two free radicals. Free radicals are highly reactive species possessing an unpaired electron, but no net charge. The movement of single electrons in reaction mechanisms is depicted using 'fish-hook' (single-sided, curly) arrows. These highly reactive free radicals then initiate a chain reaction that ultimately yields a mixture of products, including halogenoalkanes. The entire sequence of these reaction steps is referred to as the reaction mechanism.

Propagation: Chain Reactions Involving Free Radicals

Diagram

In the propagation stage, free radicals are both consumed and generated, allowing the reaction to continue in a chain-like manner. For instance, a chlorine radical can react with methane, leading to a series of steps that ultimately produce dichloromethane. This continuous cycle of free radical formation and consumption sustains the overall reaction.

Termination: Removal of Free Radicals

Termination reactions bring the chain reaction to an end by removing free radicals from the system. This occurs when two free radicals combine, pairing up their unpaired electrons. Numerous possible termination steps can occur, leading to a variety of products in the reaction mixture.

Diagram

Alkenes: Structure and Addition Reactions

Diagram

Alkenes are unsaturated hydrocarbons with the general formula CnH2n. Their defining feature is the presence of a carbon-carbon double bond. This double bond consists of one strong sigma (σ) bond and one weaker pi (π) bond. The carbon atoms involved in the double bond are sp2 hybridized, resulting in bond angles of approximately 120 degrees. The π bond in alkenes is relatively easily broken, creating two new bonding positions on the carbon atoms, which makes alkenes highly reactive towards addition reactions. These reactions convert the unsaturated alkene into a saturated product.

Addition of Hydrogen (Hydrogenation)

Diagram
Diagram

Alkenes react with hydrogen gas in a process called hydrogenation to form alkanes. This reaction typically requires a nickel catalyst and a temperature of about 150°C. During hydrogenation, the double bond is broken, and hydrogen atoms add across the carbon atoms, converting the unsaturated alkene into a saturated alkane. This process is industrially significant, particularly in the margarine industry, where unsaturated oils are hydrogenated to produce more saturated compounds with higher melting points.

Addition of Halogens

Diagram

Alkenes readily react with halogens (e.g., bromine, chlorine) to form dihalogeno compounds. These reactions are typically fast and occur at room temperature. A characteristic observation is the decolorization of the reacting halogen, such as the red-brown color of bromine water disappearing. Since two halogen atoms are added to the product, the naming convention requires assigning numbers to indicate their positions.

Addition of Hydrogen Halides

Alkenes react with hydrogen halides (e.g., HCl, HBr, HI) to produce halogenoalkanes. These reactions occur in solution at room temperature. The reactivity of hydrogen halides follows the order HI > HBr > HCl, with hydrogen iodide reacting most readily due to its weaker H-I bond.

Diagram

Addition of Water (Hydration)

The addition of water to an alkene, known as hydration, converts the alkene into an alcohol. This reaction is typically catalyzed by sulfuric acid. It is crucial not to confuse hydration with hydrogenation. The hydration of alkenes holds industrial importance, as it is a method for synthesizing ethanol, a widely used solvent. Modern industrial ethanol synthesis often employs catalytic hydration of ethene over a phosphoric acid catalyst absorbed on silica.

Diagram

Distinguishing Alkanes and Alkenes

There are two primary observable differences that can be used to distinguish between alkanes and alkenes. Firstly, alkenes readily decolorize bromine water at room temperature without the need for UV light. If both an alkene and an alkane are shaken with red-brown bromine water, the bromine water will immediately lose its color in the presence of the alkene, but not the alkane. Alkanes only undergo substitution reactions with halogens in the presence of UV light. Secondly, alkenes tend to burn with a dirtier, smokier flame compared to alkanes. This is attributed to their higher carbon-to-hydrogen ratio, which leads to incomplete combustion and the production of soot. Compounds containing benzene rings, being even more unsaturated, exhibit an even smokier flame. Furthermore, alkenes readily participate in addition reactions, a characteristic not shared by alkanes.

Polymerization of Alkenes

Diagram

Alkenes are capable of undergoing addition reactions by breaking their double bonds, allowing them to join together to form long chains called polymers. The specific chemical nature of the monomer (the alkene used in the reaction) dictates the properties of the resulting polymer. Polymers, typically composed of thousands of monomer units, are significant products of the chemical industry, forming the basis of many plastics. During polymerization, the double bonds of the alkene monomers break to facilitate the formation of the polymer chain, as seen in the formation of poly(ethene) from ethene.

Diagram

Examples of Alkene Polymers

Diagram

Propene polymerizes to form polypropene, commonly known as polypropylene, which finds applications in the manufacture of clothing, particularly thermal wear. Polychloroethene, or PVC (polyvinyl chloride), is another crucial plastic used extensively in construction materials, packaging, and electrical cable sheathing. However, its synthesis can produce dioxins, which are toxic and linked to various cancers. Polytetrafluoroethene, often marketed as Teflon, is known for its non-stick properties.

Diagram
Diagram

Disposal of Plastics

The disposal of plastics presents a major global environmental challenge due to their impermeability to water, low reactivity, and often non-biodegradable nature. As a result, plastics can persist in landfills for indefinite periods, and approximately 10% of plastics end up in the
ocean, posing significant hazards to marine life. Efforts to address
this problem include promoting more efficient recycling, developing
biodegradable plastics, and exploring the use of plastic-feeding
microorganisms. For instance, biodegradable plastics often
incorporate starch granules that absorb water and expand when
buried, breaking the plastic into smaller pieces and increasing the
surface area for bacterial digestion.
Summary of Alkene Reactions

Diagram









Alcohols: Structure and Reactions

Alcohols are organic compounds characterized by the general formula CnH2n+1OH. They contain the hydroxyl (-OH) functional group. The presence of this polar -OH group significantly increases their solubility in water compared to alkanes of similar molar mass. Alcohols participate in several key reactions, including combustion, oxidation, and esterification.

Diagram

Combustion of Alcohols

Alcohols react with oxygen in combustion reactions to produce carbon dioxide and water, releasing substantial amounts of energy. The amount of energy released per mole generally increases as one moves up a homologous series of alcohols due to the formation of more CO2. For example, the burning of methanol (2CH3OH (l) + 3O2 (g) → 2CO2 (g) + 4H2O (g), ΔH°c = -726.1 kJ mol-1) releases less energy than the burning of pentanol (2C5H11OH (l) + 15O2 (g) → 10CO2 (g) + 12H2O (g), ΔH°c = -3330.9 kJ mol-1). Similar to hydrocarbons, if the oxygen supply is limited, incomplete combustion will occur, leading to the production of carbon monoxide instead of carbon dioxide.

Oxidation of Alcohols

Diagram

While combustion represents the complete oxidation of an alcohol molecule, it is also possible to selectively oxidize the carbon atom bearing the -OH group, leaving the rest of the carbon skeleton intact. This selective oxidation is typically achieved using acidified oxidizing agents, with acidified potassium dichromate(VI) being the most common. Potassium dichromate(VI) is bright orange and changes to green as it is reduced to chromium(III) during the reaction. In chemical equations, the oxidizing agent is often represented by +[O] placed above the reaction arrow.

Oxidation of Primary Alcohols

Primary alcohols undergo a two-step oxidation process. The first step yields an aldehyde, and if the reaction proceeds further, the aldehyde is then oxidized to a carboxylic acid.

Separating Products of Alcohol Oxidation

Diagram

Distillation is a crucial technique for separating the components of alcohol oxidation mixtures, as it exploits differences in boiling points. Aldehydes, lacking hydrogen bonding, have lower boiling points than alcohols and carboxylic acids, allowing them to be separated by distillation. To obtain the carboxylic acid, the aldehyde is kept in contact with the oxidizing agent for an extended period, often using a reflux apparatus. Refluxing involves continuously heating the reaction mixture while condensing and returning any volatile vapors to the reaction vessel, ensuring that volatile components remain in the reaction long enough for the reaction to go to completion.

Oxidation of Secondary Alcohols

Diagram

Secondary alcohols are oxidized to ketones. This reaction is analogous to the oxidation of primary alcohols, but due to the structure of secondary alcohols, the oxidation stops at the ketone stage.

Oxidation of Tertiary Alcohols

Diagram

Tertiary alcohols generally do not undergo oxidation under comparable conditions. This is because the carbon atom bonded to the hydroxyl group is also bonded to three other carbon atoms, meaning there are no hydrogen atoms directly attached to this carbon that can be removed during oxidation.

Summary of Alcohol Oxidation

Diagram

In summary, oxidation with potassium dichromate(VI) solution effectively oxidizes primary and secondary alcohols, but not tertiary alcohols. The characteristic color change from orange Cr(VI) to green Cr(III) serves as an indicator of the reaction. Primary alcohols can be oxidized to carboxylic acids, secondary alcohols to ketones, while tertiary alcohols show no reaction.

Diagram

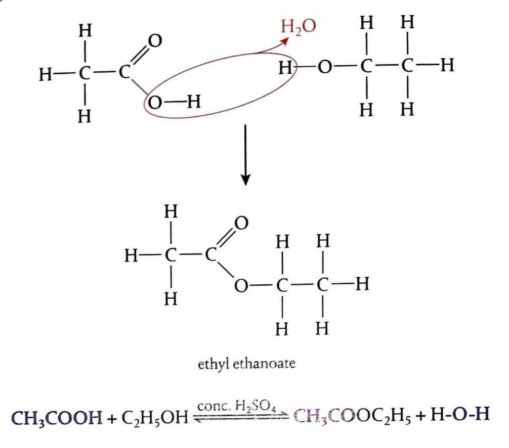
Esterification of Alcohols

Esterification is a condensation reaction where an alcohol reacts with a carboxylic acid to form an ester and typically water. The name of the ester is derived from the alkyl portion of the alcohol and the name of the acid salt. For example, the reaction between ethanol and ethanoic acid produces ethyl ethanoate. This reaction is an equilibrium process and requires warming the mixture of alcohol and carboxylic acid in the presence of concentrated sulfuric acid, which acts as a catalyst. Condensation reactions involve the joining of two molecules to form a product, usually with the elimination of a small molecule like H2O, HCl, or NH3.

Diagram

Properties of Esters

Many esters are known for their sweet, fruity smells and are widely used as food flavorings and in perfumes. Unlike their parent alcohols and carboxylic acids, esters lack a free -OH group, which means they cannot form hydrogen bonds with each other. This characteristic makes them more volatile and less soluble in water compared to the corresponding alcohols and acids. Naturally occurring fats and oils are also esters, specifically triglycerides, which contain three ester linkages formed from the reaction of an alcohol with three -OH groups (glycerol) and three carboxylic acids (fatty acids).

Halogenoalkanes: Structure and Nucleophilic Substitution

Diagram

Halogenoalkanes are saturated molecules with the general formula CnH2n+1X, where X represents a halogen atom (fluorine, chlorine, bromine, or iodine) bonded to the carbon skeleton. Unlike non-polar alkanes, halogenoalkanes possess a polar bond due to the halogen atom's higher electronegativity compared to carbon. This electronegativity difference causes the halogen to exert a stronger pull on the shared electrons in the carbon-halogen bond, resulting in a partial negative charge on the halogen and a partial positive charge on the carbon. This electron-deficient carbon is a key factor in the reactivity of halogenoalkanes, particularly their susceptibility to nucleophilic substitution reactions.

Diagram

Nucleophilic Substitution Reactions

Nucleophiles are electron-rich species that are strongly attracted to electron-deficient atoms. They possess a lone pair of electrons and may also carry a negative charge, examples include H2O, OH-, NH3, and CN-. In halogenoalkanes, the nucleophiles are attracted to the electron-deficient carbon atom, leading to a reaction where the halogen atom is substituted by the nucleophile. These are known as nucleophilic substitution reactions.

Benzene: Electrophilic Substitution

Benzene, an aromatic hydrocarbon, exhibits unique reactivity. Due to the high stability of its delocalized electron ring, addition reactions are not favored. Instead, benzene primarily undergoes substitution reactions, specifically electrophilic substitution, where one or more hydrogen atoms on the ring are replaced by an incoming group. This type of substitution occurs within the delocalized electron ring but importantly preserves the aromaticity and stability of the ring.

Electrophilic Substitution Reactions

Electrophiles are electron-deficient species, typically possessing a positive or partial positive charge. These electrophiles (E+) are attracted to the electron-rich benzene ring, initiating electrophilic substitution reactions. Examples include the reaction of benzene with NO2+ (nitration) and with halogens (halogenation).

Diagram
Diagram
Diagram