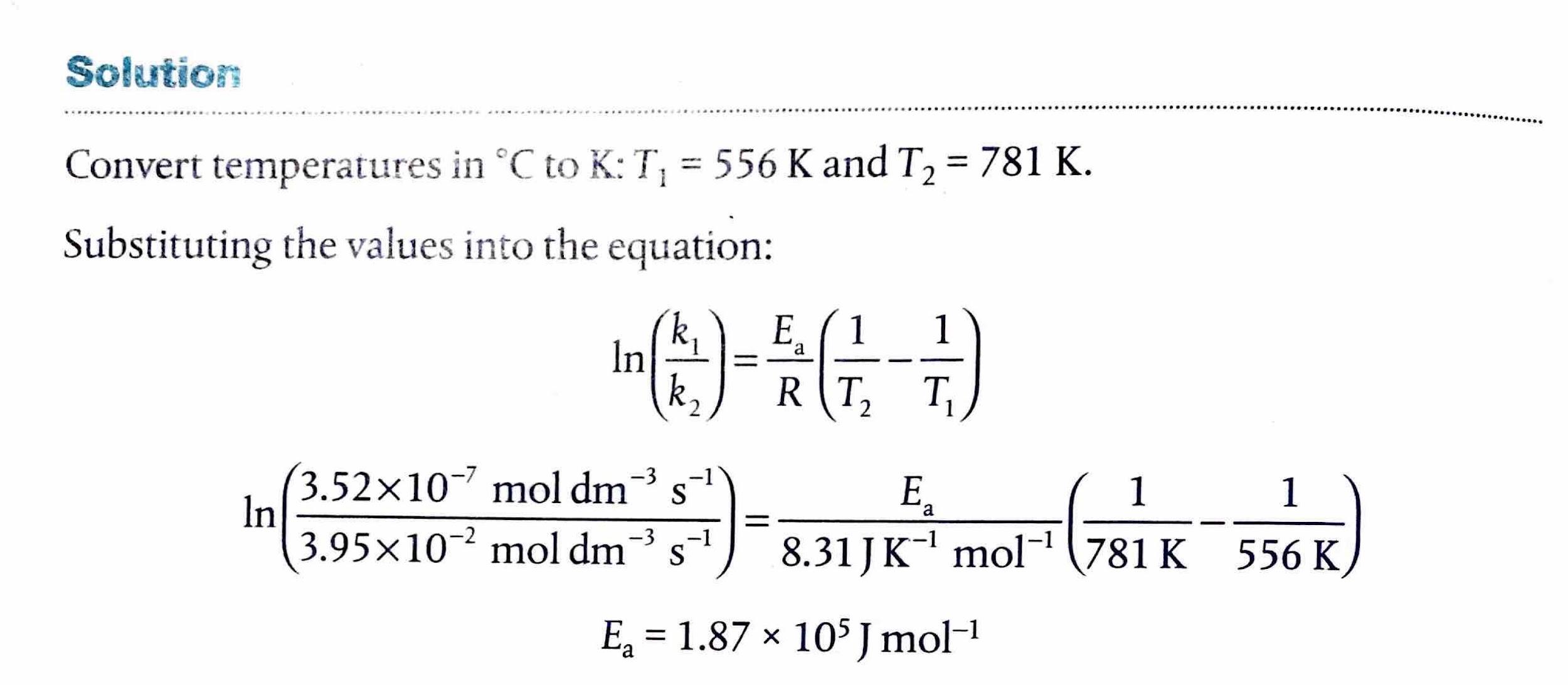
Defining the Rate Law
The rate law is a fundamental equation in chemical kinetics that describes the rate of a chemical reaction as a function of the concentrations of its reactants. It quantifies the relationship between the reaction rate, a rate constant (k), and the molar concentrations of the reactants. For a generic reaction represented as aA + bB → cC + dD, the rate law is expressed as Rate = k[A]x[B]y. It is crucial to understand that the exponents 'x' and 'y' in the rate law are not necessarily equal to the stoichiometric coefficients 'a' and 'b' from the balanced chemical equation; instead, they are experimentally determined values that define the order of the reaction with respect to each reactant. The sum of these exponents, x + y, gives the overall reaction order.Illustrative Example of Reaction Orders
Consider the reaction 2H2(g) + 2NO(g) → 2H2O(g) + N2(g). If experimental data reveals that this reaction is second order with respect to NO and first order with respect to H2, then the rate law would be written as Rate = k[NO]2[H2]1. In this case, the overall reaction order is the sum of the individual orders, 2 + 1 = 3, classifying it as a third-order reaction.Experimental Determination of Rate Laws
Rate laws are determined experimentally, typically by measuring the initial reaction rates under varying reactant concentrations. By systematically changing the concentration of one reactant while keeping others constant, and then measuring the corresponding initial reaction rates, the relationship between reactant concentrations and the reaction rate can be deduced. This process allows for the determination of the reaction order with respect to each reactant.Practical Application: Determining Rate Laws
To determine a rate law from experimental data, one must identify experiments where the concentration of only one reactant changes while the others remain constant. By comparing the initial rates from these experiments, the reaction order for that specific reactant can be found. * If changing the concentration of a reactant (A) has no effect on the reaction rate, the reaction is zero-order with respect to A. * If a directly proportional change in rate occurs when the concentration of A is changed, the reaction is first-order with respect to A. * If the rate changes by the square of the change in concentration of A, the reaction is second-order with respect to A. Let's apply this method to the reaction 2H2(g) + 2NO(g) → 2H2O(g) + N2(g) using the following experimental data:| Experiment | Initial [NO]/mol dm-3 | Initial [H2]/mol dm-3 | Initial rate/ mol(N2) dm-3 s-1 |
|---|---|---|---|
| 1 | 0.100 | 0.100 | 2.53 x 10-6 |
| 2 | 0.100 | 0.200 | 5.05 x 10-6 |
| 3 | 0.200 | 0.100 | 1.01 x 10-5 |
| 4 | 0.300 | 0.100 | 2.28 x 10-5 |
Calculating Reaction Orders and the Rate Constant
Using the provided experimental data, we can determine the reaction orders. To find the order with respect to NO, we compare experiments 3 and 4, where [H2] is constant. The ratio of [NO] is 0.300/0.200 = 1.5, and the ratio of the rates is (2.28 x 10-5)/(1.01 x 10-5) ≈ 2.25. Since (1.5)2 = 2.25, the reaction is second-order with respect to NO. To find the order with respect to H2, we compare experiments 1 and 2, where [NO] is constant. The ratio of [H2] is 0.200/0.100 = 2, and the ratio of the rates is (5.05 x 10-6)/(2.53 x 10-6) ≈ 2. Since (2)1 = 2, the reaction is first-order with respect to H2. Therefore, the rate law for this reaction is Rate = k[NO]2[H2]. The overall reaction order is 2 + 1 = 3, making it a third-order reaction. To determine the value of the rate constant (k), data from any of the experimental trials can be substituted into the derived rate law.Characteristics and Units of the Rate Constant (k)
The rate constant (k) is a proportionality constant in the rate law that is unique for each specific reaction. Its value is determined experimentally and is dependent on temperature, increasing with higher temperatures. The units of the rate constant vary depending on the overall order of the reaction, ensuring that the units of the rate law consistently yield units of concentration per unit time (e.g., mol dm-3 s-1).| Zero Order | First Order | Second Order | Third Order |
|---|---|---|---|
| Rate = k | Rate = k[A] | e.g. rate = k[A]2 | e.g. rate = k[A]3 |
| k = units of rate = mol dm-3 s-1 |
k = units of rate/units of concentration = mol dm-3 s-1/mol dm-3 = s-1 |
k = units of rate/(units of concentration)2 = mol dm-3 s-1/(mol dm-3)2 = mol-1 dm3 s-1 |
k = units of rate/(units of concentration)3 = mol dm-3 s-1/(mol dm-3)3 = mol-2 dm6 s-1 |
