IB Chemistry Study Summary

Chemical Bonding & Structure

1
Additional HL: Expanded Octets

Understanding Expanded Octets

An expanded octet refers to a situation where a central atom in a molecule or polyatomic ion accommodates more than eight valence electrons in its outermost shell. This phenomenon is possible for elements in the third period and beyond because their d orbitals have energy levels that are sufficiently close to their valence p orbitals. Consequently, electrons can be promoted from the filled valence p orbitals to these empty d orbitals, allowing the central atom to form more bonds than predicted by the octet rule.

Elements Exhibiting Expanded Octets

Several common elements are known to form compounds with expanded octets. For instance, phosphorus, sulfur, and chlorine can all act as central atoms with five electron domains around them. Sulfur, bromine, and xenon are examples of elements that can accommodate six electron domains.

Molecular Geometries with Expanded Octets

The presence of an expanded octet leads to a greater number of electron domains around the central atom, which in turn results in a wider variety of molecular geometries beyond those predicted by the simple VSEPR model for octet-rule-abiding molecules. For species with five electron domains around the central atom, the electron domain geometry is trigonal bipyramidal. The molecular geometries that can arise from this arrangement include:
Diagram
Diagram
  • Trigonal bipyramidal geometry: Occurs when all five electron domains are bonding pairs.
  • See-saw geometry: Occurs when there are four bonding pairs and one lone pair.
  • T-shaped geometry: Occurs when there are three bonding pairs and two lone pairs.
Diagram
For species with six electron domains around the central atom, the electron domain geometry is octahedral. The molecular geometries that can arise from this arrangement include:
Diagram
Diagram
  • Octahedral geometry: Occurs when all six electron domains are bonding pairs.
  • Square pyramidal geometry: Occurs when there are five bonding pairs and one lone pair.
  • Square planar geometry: Occurs when there are four bonding pairs and two lone pairs.
  • Linear geometry: While less common for six electron domains, it can occur in specific cases where there are two bonding pairs and four lone pairs, resulting in a linear                                          arrangement of the bonded atoms.
Diagram
Diagram
2
Resonance Structures

Defining Resonance and Delocalization

Resonance occurs in molecules or polyatomic ions when more than one valid Lewis structure can be drawn to represent the arrangement of electrons. These individual Lewis structures, known as resonance contributors or canonical forms, are hypothetical and do not accurately depict the true electronic structure. Instead, the actual structure is a resonance hybrid, which is an average of all contributing resonance structures. A key characteristic of resonance is the delocalization of electrons, meaning that these electrons are not confined to a single bond or atom but are instead shared across multiple bonding positions within the molecule or ion. This delocalization of electrons significantly contributes to the overall stability of the molecule or ion.

Illustrating Resonance with Ozone (O3)

A classic example of resonance is the ozone molecule (O
Diagram
3). While two distinct Lewis structures can be drawn for ozone, each showing one single bond and one double bond between oxygen atoms, neither accurately represents the molecule's true bonding. The actual ozone molecule is a resonance hybrid where the electrons forming the double bond are delocalized over all three oxygen atoms. This delocalization results in two identical oxygen-oxygen bonds, each having a bond order of 1.5. This intermediate bond order is reflected in the bond lengths and bond enthalpies, which fall between those of a typical O‒O single bond and an    O=O double bond, as shown in the table below.
Diagram
O‒O single bond O=O single bond oxygen-oxygen bonds in O3
Bond length / pm 148 121 127
Bond enthalpy / kJ mol-1 144 498 364

Determining the Number of Resonance Structures

The number of possible resonance structures for a molecule or ion can be deduced by identifying the number of possible positions for a double bond (or triple bond) while maintaining the octet rule for all atoms. Each unique arrangement of double and single bonds that satisfies Lewis structure rules represents a contributing resonance structure.
Diagram
Diagram
Diagram
Diagram
Diagram
3
Formal Charge

Calculating Formal Charge

Formal charge is a theoretical charge assigned to an atom in a molecule, assuming that electrons in a chemical bond are shared equally between the atoms, regardless of their electronegativity. It is calculated by subtracting the number of electrons assigned to an atom in a Lewis dot structure from the number of valence electrons in the unbonded atom. The formula for formal charge (FC) is often expressed as:

FC = (Number of valence electrons in free atom) - (Number of non-bonding electrons) - (½ Number of bonding electrons)

Alternatively, this can be written as V - (½ B + L), where V represents the number of valence electrons in the unbonded atom, B represents the number of electrons in bonded pairs, and L represents the number of electrons in lone pairs. To apply this formula, one adds half the number of electrons in bonded pairs to the number of electrons in lone pairs, and then subtracts this sum from the number of valence electrons of the isolated atom.

Diagram
Diagram
Diagram

Formal Charge and Molecular Stability

Formal charge serves as a crucial tool for determining which of several possible Lewis structures for a molecule is the most stable. Generally, the most stable molecular structure is the one where all atoms possess a formal charge of zero. When comparing different Lewis structures, formal charge helps to distinguish between non-equivalent structures, which are those that contain a different number of single and multiple bonds. It is important to note that formal charge is used to compare the stabilities of these non-equivalent structures, but it is not applicable for comparing equivalent structures, as their stabilities are inherently the same.

Diagram
Diagram

Prioritizing Lewis Structures Based on Formal Charge

When multiple Lewis structures are possible for a molecule, the structure with the lowest formal charges on its atoms is generally preferred. This means that structures where formal charges are zero or as close to zero as possible are considered more stable. For instance, consider the following example:

Diagram
Diagram

Electronegativity and Formal Charge Distribution

In cases where multiple Lewis structures have the same magnitude of formal charges, an additional criterion is used: the placement of negative formal charges. The most stable Lewis structure will not only have the lowest formal charges but will also place any negative formal charges on the most electronegative atom within the molecule. Conversely, positive formal charges are more stable on less electronegative atoms. For example, if two structures have the same overall difference in formal charge values, the one where the negative charge resides on the more electronegative atom is preferred, as illustrated below:

Diagram
4
Benzene

The Unique Structure of Benzene

Benzene, with the chemical formula C6H6, possesses a distinctive structure characterized by delocalized electrons. These electrons are not confined to specific bonds between individual carbon atoms but are instead spread evenly throughout the entire ring structure. This delocalization is often represented by a circle within the hexagonal carbon framework. A significant consequence of this electron delocalization is that all carbon-carbon bonds within the benzene ring are of equal length and strength, intermediate between a typical single and double bond. This uniformity contributes to benzene's exceptional stability.
Diagram
Diagram
Diagram
Diagram
5
Sigma/Pi Bonds & Hybridization

Molecular Orbitals and Covalent Bonding

Molecular orbitals are formed when two atomic orbitals overlap, resulting in a new orbital with lower energy. This overlap is fundamental to the formation of covalent bonds. There are two primary types of covalent bonds based on the nature of this overlap: sigma (σ) bonds and pi (π) bonds.

Sigma (σ) Bonds

A sigma (σ) bond is the type of bond that forms in every single covalent bond. It is characterized by the direct, head-on overlap of atomic orbitals. This overlap can occur between s orbitals, p orbitals, or hybrid orbitals in various combinations. The electron density in a sigma bond is concentrated directly between the nuclei of the bonded atoms, along the internuclear axis.
Diagram

Pi (π) Bonds

Pi (π) bonds are formed in addition to a sigma bond within double or triple covalent bonds. They arise from the sideways overlap of unhybridized p orbitals. In a pi bond, the electron density is concentrated above and below the plane of the bond axis, rather than directly between the nuclei.
Diagram

Introduction to Hybridization

Hybridization is a theoretical concept used to explain the observed geometries of molecules. It is the process where atomic orbitals within an atom mix to produce new, degenerate hybrid orbitals that have intermediate energy and different shapes compared to the original atomic orbitals. These hybrid orbitals are more effective at forming stronger covalent bonds because they allow for greater overlap with other atomic orbitals.
Diagram
Diagram

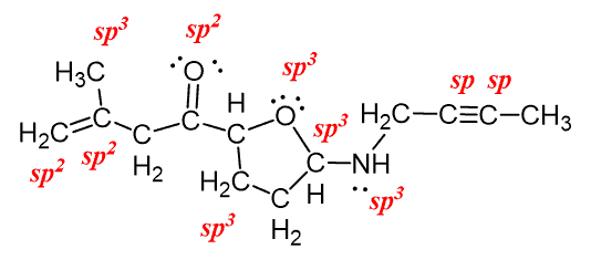
sp3 Hybridization

In sp3 hybridization, one 2s atomic orbital and three 2p atomic orbitals combine to form four equivalent sp3 hybrid orbitals. This process often involves the conceptual promotion of an electron from the ground state 2s orbital to a 2p orbital, making four orbitals available for mixing. The resulting sp3 hybrid orbitals are oriented in a tetrahedral arrangement around the central atom, leading to a tetrahedral molecular geometry.
Diagram
Diagram
It is important to remember that the number of hybrid orbitals produced always equals the number of atomic orbitals that mix. For instance, mixing four atomic orbitals (one s and three p) will always yield four hybrid orbitals.
Diagram
Diagram

sp2 Hybridization

sp2 hybridization involves the mixing of one s atomic orbital and two p atomic orbitals to form three equivalent sp2 hybrid orbitals. These three sp2 hybrid orbitals lie in a plane and are oriented 120° apart, leading to a trigonal planar electron domain geometry. The remaining unhybridized p orbital is perpendicular to this plane and can participate in the formation of a pi (π) bond through sideways overlap with another unhybridized p orbital on an adjacent atom.
Diagram
Diagram
Diagram
Diagram

sp Hybridization

sp hybridization occurs when one s atomic orbital and one p atomic orbital mix to form two equivalent sp hybrid orbitals. These two sp hybrid orbitals are oriented 180° apart, resulting in a linear electron domain geometry. The two remaining unhybridized p orbitals are perpendicular to each other and to the sp hybrid orbitals. These unhybridized p orbitals can participate in the formation of two pi (π) bonds, typically found in triple bonds, through sideways overlap.
Diagram
Diagram
Diagram
Diagram

Electron Groups and Hybridization

The concept of an "electron group" is crucial for determining hybridization and molecular geometry. An electron group can be defined as any of the following: a lone pair of electrons, a single bond, a double bond, or a triple bond. The number of electron groups around a central atom dictates the hybridization state of that atom.
Diagram
Diagram
Diagram

Predicting Molecular Shape with Hybridization

Hybridization is a powerful tool for predicting the electron domain geometry and, consequently, the molecular geometry of a molecule. The number of electron domains around a central atom directly corresponds to its hybridization state and the resulting spatial arrangement of those electron domains. The table below summarizes the relationship between the number of electron domains, electron domain geometry, molecular geometry, and hybridization, along with illustrative examples.
Number of electron domains Electron domain geometry Molecular geometry Example Hybridization
2 linear linear CO2 sp
3 trigonal planar trigonal planar BF3 sp2
3 trigonal planar bent SO2 sp2
4 tetrahedral tetrahedral CH4 sp3
4 tetrahedral trigonal pyramidal NH3 sp3
4 tetrahedral bent H2O sp3
Diagram
Diagram
Diagram
Diagram
Diagram
Diagram